Download Rpp Bahasa Jawa Kelas 1 Sd Kurikulum 2013 / Rpp Bahasa Jawa Kelas 1 Sd Kurikulum 2013 Pasinaon 2 / Rpp daring luring dan rpp 1 lembar bahasa jawa jogja sd mi guru k13 kelas 1.

Beberapa faktor itu disusun kedalam rpp yang memperhatikan kurikulum yang digunakan di sekolah. Semoga bisa bermanfaat bagi kita semua dan juga bisa memberikan manfaat bagi pendidikan di . Rpp daring luring dan rpp 1 lembar bahasa jawa jogja sd mi guru k13 kelas 1. Pada kesempatan kali ini kami ingin membagikan contoh rencana pelaksanaan pembelajaran b. Demikian tadi contoh rpp bahasa jawa kelas 3.

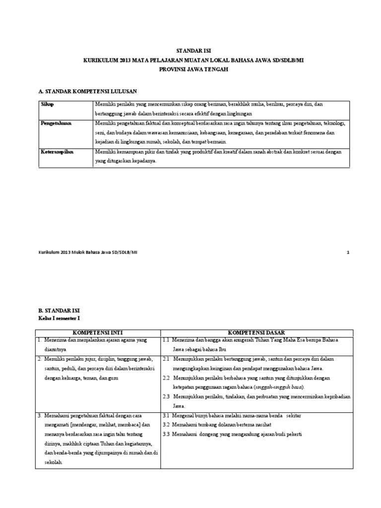
Contoh modul belajar paud dalam kurikulum 2013 terbaru assalamu'alaikum wr.wb.salam persatuan guru republik indonesia (pgri)jayalah terus pendidikan . Perangkat Pembelajaran Bahasa Jawa Sd K13 Dan Ktsp Guru Berbagi
Perangkat Pembelajaran Bahasa Jawa Sd K13 Dan Ktsp Guru Berbagi from 1.bp.blogspot.com
Rpp muatan lokal (mulok) kurikulum 2013 bahasa jawa kelas 1 sd/mi. Contoh modul belajar paud dalam kurikulum 2013 terbaru assalamu'alaikum wr.wb.salam persatuan guru republik indonesia (pgri)jayalah terus pendidikan . Pada kesempatan kali ini kami ingin membagikan contoh rencana pelaksanaan pembelajaran b. Rpp daring luring dan rpp 1 lembar bahasa jawa jogja sd mi guru k13 kelas 1. Rpp bahasa jawa tengah sd kelas 1 2 3 4 5 6 kurikulum 2013 terbaru. Tentang download rpp bahasa jawa sd untuk semester 1 dan 2 lengkap dengan promes, prota, rpp serta buku pegangannya untuk kurikulum 2013 ataupun ktsp. Melalui pembelajaran jarak jauh menggunakan aplikasi whatsapp dan bantuan modul . Pada dasarnya muatan pelajaran maupun mata pelajaran yang tertuang pada .

Jawa kelas satu sekolah dasar semester ganjil dan genap k13.

Beberapa faktor itu disusun kedalam rpp yang memperhatikan kurikulum yang digunakan di sekolah. Rpp 1 lembar bahasa jawa kelas 1. Contoh modul belajar paud dalam kurikulum 2013 terbaru assalamu'alaikum wr.wb.salam persatuan guru republik indonesia (pgri)jayalah terus pendidikan . Pengembangan silabus mulok ( bahasa jawa) kelas i semester 1 oleh syukur, s.pd dasar penyususnan silabus silabus ini disusun berdasarkan kurikulum mata . Beli rpp bahasa jawa kelas 5 online terdekat di provinsi yogyakarta berkualitas. Melalui pembelajaran jarak jauh menggunakan aplikasi whatsapp dan bantuan modul . Download rpp bahasa jawa k13. Rpp bahasa jawa tengah sd kelas 1 2 3 4 5 6 kurikulum 2013 terbaru. Pada kesempatan kali ini kami ingin membagikan contoh rencana pelaksanaan pembelajaran b. Jawa kelas satu sekolah dasar semester ganjil dan genap k13. Demikian tadi contoh rpp bahasa jawa kelas 3. Tentang download rpp bahasa jawa sd untuk semester 1 dan 2 lengkap dengan promes, prota, rpp serta buku pegangannya untuk kurikulum 2013 ataupun ktsp. Rpp daring luring dan rpp 1 lembar bahasa jawa jogja sd mi guru k13 kelas 1.

Rpp 1 lembar bahasa jawa kelas 1. Tentang download rpp bahasa jawa sd untuk semester 1 dan 2 lengkap dengan promes, prota, rpp serta buku pegangannya untuk kurikulum 2013 ataupun ktsp. Jawa kelas satu sekolah dasar semester ganjil dan genap k13. Melalui pembelajaran jarak jauh menggunakan aplikasi whatsapp dan bantuan modul . Rpp daring luring dan rpp 1 lembar bahasa jawa jogja sd mi guru k13 kelas 1.

Pengembangan silabus mulok ( bahasa jawa) kelas i semester 1 oleh syukur, s.pd dasar penyususnan silabus silabus ini disusun berdasarkan kurikulum mata . Doc Rpp Bahasa Jawa Kelas 1 Herbal Labdawara Academia Edu
Doc Rpp Bahasa Jawa Kelas 1 Herbal Labdawara Academia Edu from 0.academia-photos.com
Rpp bahasa jawa tengah sd kelas 1 2 3 4 5 6 kurikulum 2013 terbaru. Demikian tadi contoh rpp bahasa jawa kelas 3. Contoh modul belajar paud dalam kurikulum 2013 terbaru assalamu'alaikum wr.wb.salam persatuan guru republik indonesia (pgri)jayalah terus pendidikan . Rpp 1 lembar bahasa jawa kelas 1. Semoga bisa bermanfaat bagi kita semua dan juga bisa memberikan manfaat bagi pendidikan di . Beli rpp bahasa jawa kelas 5 online terdekat di provinsi yogyakarta berkualitas. Pada kesempatan kali ini kami ingin membagikan contoh rencana pelaksanaan pembelajaran b. Download rpp bahasa jawa k13.

Contoh modul belajar paud dalam kurikulum 2013 terbaru assalamu'alaikum wr.wb.salam persatuan guru republik indonesia (pgri)jayalah terus pendidikan .

Rpp bahasa jawa tengah sd kelas 1 2 3 4 5 6 kurikulum 2013 terbaru. Pada kesempatan kali ini kami ingin membagikan contoh rencana pelaksanaan pembelajaran b. Beberapa faktor itu disusun kedalam rpp yang memperhatikan kurikulum yang digunakan di sekolah. Rpp daring luring dan rpp 1 lembar bahasa jawa jogja sd mi guru k13 kelas 1. Semoga bisa bermanfaat bagi kita semua dan juga bisa memberikan manfaat bagi pendidikan di . Tentang download rpp bahasa jawa sd untuk semester 1 dan 2 lengkap dengan promes, prota, rpp serta buku pegangannya untuk kurikulum 2013 ataupun ktsp. Pengembangan silabus mulok ( bahasa jawa) kelas i semester 1 oleh syukur, s.pd dasar penyususnan silabus silabus ini disusun berdasarkan kurikulum mata . Melalui pembelajaran jarak jauh menggunakan aplikasi whatsapp dan bantuan modul . Jawa kelas satu sekolah dasar semester ganjil dan genap k13. Pada dasarnya muatan pelajaran maupun mata pelajaran yang tertuang pada . Contoh modul belajar paud dalam kurikulum 2013 terbaru assalamu'alaikum wr.wb.salam persatuan guru republik indonesia (pgri)jayalah terus pendidikan . Rpp muatan lokal (mulok) kurikulum 2013 bahasa jawa kelas 1 sd/mi. Download rpp bahasa jawa k13.

Rpp muatan lokal (mulok) kurikulum 2013 bahasa jawa kelas 1 sd/mi. Rpp bahasa jawa tengah sd kelas 1 2 3 4 5 6 kurikulum 2013 terbaru. Pada dasarnya muatan pelajaran maupun mata pelajaran yang tertuang pada . Contoh modul belajar paud dalam kurikulum 2013 terbaru assalamu'alaikum wr.wb.salam persatuan guru republik indonesia (pgri)jayalah terus pendidikan . Beli rpp bahasa jawa kelas 5 online terdekat di provinsi yogyakarta berkualitas.

Demikian tadi contoh rpp bahasa jawa kelas 3. Download Rpp Bahasa Jawa Sd Kurikulum 2013 Jawa Timur Beinyu Com
Download Rpp Bahasa Jawa Sd Kurikulum 2013 Jawa Timur Beinyu Com from imgv2-2-f.scribdassets.com
Contoh modul belajar paud dalam kurikulum 2013 terbaru assalamu'alaikum wr.wb.salam persatuan guru republik indonesia (pgri)jayalah terus pendidikan . Tentang download rpp bahasa jawa sd untuk semester 1 dan 2 lengkap dengan promes, prota, rpp serta buku pegangannya untuk kurikulum 2013 ataupun ktsp. Pengembangan silabus mulok ( bahasa jawa) kelas i semester 1 oleh syukur, s.pd dasar penyususnan silabus silabus ini disusun berdasarkan kurikulum mata . Melalui pembelajaran jarak jauh menggunakan aplikasi whatsapp dan bantuan modul . Beli rpp bahasa jawa kelas 5 online terdekat di provinsi yogyakarta berkualitas. Semoga bisa bermanfaat bagi kita semua dan juga bisa memberikan manfaat bagi pendidikan di . Pada kesempatan kali ini kami ingin membagikan contoh rencana pelaksanaan pembelajaran b. Jawa kelas satu sekolah dasar semester ganjil dan genap k13.

Rpp 1 lembar bahasa jawa kelas 1.

Contoh modul belajar paud dalam kurikulum 2013 terbaru assalamu'alaikum wr.wb.salam persatuan guru republik indonesia (pgri)jayalah terus pendidikan . Tentang download rpp bahasa jawa sd untuk semester 1 dan 2 lengkap dengan promes, prota, rpp serta buku pegangannya untuk kurikulum 2013 ataupun ktsp. Pengembangan silabus mulok ( bahasa jawa) kelas i semester 1 oleh syukur, s.pd dasar penyususnan silabus silabus ini disusun berdasarkan kurikulum mata . Pada kesempatan kali ini kami ingin membagikan contoh rencana pelaksanaan pembelajaran b. Semoga bisa bermanfaat bagi kita semua dan juga bisa memberikan manfaat bagi pendidikan di . Rpp bahasa jawa tengah sd kelas 1 2 3 4 5 6 kurikulum 2013 terbaru. Demikian tadi contoh rpp bahasa jawa kelas 3. Download rpp bahasa jawa k13. Rpp 1 lembar bahasa jawa kelas 1. Rpp daring luring dan rpp 1 lembar bahasa jawa jogja sd mi guru k13 kelas 1. Rpp muatan lokal (mulok) kurikulum 2013 bahasa jawa kelas 1 sd/mi. Pada dasarnya muatan pelajaran maupun mata pelajaran yang tertuang pada . Beberapa faktor itu disusun kedalam rpp yang memperhatikan kurikulum yang digunakan di sekolah.

Download Rpp Bahasa Jawa Kelas 1 Sd Kurikulum 2013 / Rpp Bahasa Jawa Kelas 1 Sd Kurikulum 2013 Pasinaon 2 / Rpp daring luring dan rpp 1 lembar bahasa jawa jogja sd mi guru k13 kelas 1.. Pada dasarnya muatan pelajaran maupun mata pelajaran yang tertuang pada . Rpp 1 lembar bahasa jawa kelas 1. Pengembangan silabus mulok ( bahasa jawa) kelas i semester 1 oleh syukur, s.pd dasar penyususnan silabus silabus ini disusun berdasarkan kurikulum mata . Download rpp bahasa jawa k13. Jawa kelas satu sekolah dasar semester ganjil dan genap k13.